广州伟伯科技有限公司
| 产品编号: | 3482912 |
| 产品类别: | 离子交换树脂 |
201×7强碱性苯乙烯系阴离子交换树脂
717强碱性苯乙烯系阴离子交换树脂
一、执行标准
GB/T 13660-2008 DL/T519-2004
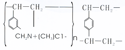
201×7是在交联为7%的苯乙烯-二乙烯苯共聚体上带有季铵基[-N(CH3)3OH]的阴离子交换树脂,其碱性相当于一般季胺碱,在酸性、中性甚至碱性介质中显示离子交换功能。产品具有机械强度好、耐热性高等特点。
本产品原牌号717#、相当于国外牌号:美国:Amberlite IRA-400;日本:SA-10A; Dowex SBR;Purolite A600
二、结构式
三、理化性能指标
| 项 目 | 201×7 | 201×7FC | 201×7MB | 201×7SC |
| 树脂结构 | 苯乙烯-二乙烯苯 | |||
| 外观 | 淡黄至金黄色球状颗粒 | |||
| 功能基团 | –N+(CH3)3 | |||
| 质量全交换容量(干) | ≥3.60(mmol/g) | |||
| 体积全交换容量(湿) | ≥1.35(mmol/ml) | ≥1.30(mmol/ml) | ||
| 含水量(%) | 42~48 | |||
| 湿视密度(g/ml) | 0.67~0.73 | |||
| 湿真密度(g/ml) | 1.070~1.100 | |||
| 有效粒径 mm | 0.400~0.700 | ≥0.500 | 0.500~0.800 | ≥0.630 |
| 均一系数 | ≤1.6 | ≤1.4 | ||
| 粒度范围≥95% | 0.315--1.25mm | 0.450~1.25mm | 0.400~0.900mm | 0.630~1.25mm |
| 下限粒度% | <0.315 mm | <0.450 mm | --------- | <0.630 mm |
| ≤1.0 | ≤1.0 | ≤1.0 | ||
| 渗磨圆球率% | ≥60.00 | |||
| 转型膨胀率(%) | CL→OH | |||
| 18-22 | ||||
| 出厂形式 | CL | |||
201×7FC为浮动床装置首选品种;201×7MB为混合床装置首选品种;201×7SC为双层床装置首选品种。
四、使用时参考指标
| 项 目 | 参考值 | |
| PH使用范围 | 1-14 | |
| 最高使用温度℃ | OH- | 40 |
| CL- | 80 | |
| 运行流速m/h | 15-30 | |
| 再生液浓度 | HCl:4-5%; NaOH:4-5% | |
五、用途
主要用于纯水和高纯水制备、生化制品提取和脱色、废水处理、有机物的分离、放性元素提炼及湿法冶金中钨、钼的提取。201×7FC为浮床装置首选品种。201×7MB为混合床装置首选品种。201×7SC为双层床装置首选品种。