广州伟伯科技有限公司
| 产品编号: | 3482913 |
| 产品类别: | 离子交换树脂 |
一、执行标准
HG/T2163-1991 DL/T519-2004
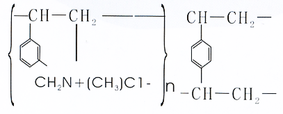
201×4是在交联为4%的苯乙烯-二乙烯苯共聚体上带有季铵基[-N(CH3)3OH]的阴离子交换树脂,其碱性相当于一般季胺碱,在酸性、中性甚至碱性介质中显示离子交换功能。产品具有机械强度好、耐热性高等特点。
本产品相当于美国:Amberlite IRA402/420;Dowex SBR-P;PuroliteA400
二、结构式
三、理化性能指标
| 项 目 | 产品规格 |
| 树脂结构 | 苯乙烯-二乙烯苯 |
| 外观 | 淡黄色至金黄色球状颗粒 |
| 功能基团 | –N+(CH3)3 |
| 质量全交换容量(干)(mmol/g) | ≥3.80 |
| 体积全交换容量(湿)(mmol/ml) | ≥1.10 |
| 粒度(0.315-1.25)mm | ≥95% |
| 含水量(%) | 50.0-60.0 |
| 湿真密度(g/ml) | 1.060-1.100 |
| 湿视密度(g/ml) | 0.66-0.71 |
| 强度(磨后圆球率) | ≥90% |
| 转型膨胀率(%) | CL→OH |
| 25-30 | |
| 出厂形式 | CL |
四、使用时参考指标
| 项 目 | 参考值 | |
| PH使用范围 | 1-14 | |
| 最高使用温度℃ | OH- | 40 |
| CL- | 100 | |
| 运行流速m/h | 15-30 | |
| 再生液浓度 | HCl:3-5%; NaOH:3-5% | |
五、用途
主要用于纯水、高纯水制备,糖液脱色、废水处理、生化制品和放射性元素的提取。